Kvindeskelettet fra den lille kedelmose øst for Koelbjerg på Fyn har længe været regnet for det ældste menneskeskelet, vi kender fra Danmark. Aldersbestemmelsen var baseret på en omhyggelig pollenanalytisk undersøgelse af knogler og fundlag foretaget for lidt over 40 år siden,1 og den gav som resultat, at skelettet skulle stamme fra tidlig Maglemose Kultur, ca. 7000 f.Kr.
Nu er der altid en vis usikkerhed knyttet til en pollenanalytisk datering af knogler, for det man daterer på denne måde er de indtørrede rester af tørvemasse, som sidder fastgjort til knoglerne, fortrinsvis i de indre hulheder, men ikke selve knoglerne. I forbindelse med nyere undersøgelser af Koelbjerg-skelettet var det derfor af interesse at prøve at verificere den pollenanalytiske datering ved hjælp af en kulstof-14 bestemmelse på selve knoglematerialet. Som et led i en sådan undersøgelse foretages også en kulstof-13 måling på knoglevævet, der kan give oplysninger om det pågældende menneskes kost og levevis.
Når en undersøgelse af kulstofatomerne i knogler er i stand til at give oplysninger både om alder og kost, hænger det sammen med, at kulstofatomer i levende organismer forekommer i lidt forskellige varianter (såkaldte kulstof-isotoper) der – selv om de har samme kemiske egenskaber – har forskellige vægte og derfor også lidt forskellige fysiske egenskaber, som bevirker, at isotoperne kan optræde i forskellige mængdeforhold og dermed give oplysninger om prøvematerialernes alder og oprindelse.
Det har længe været kendt, at isotopen kulstof-14, eller C-14, som findes i meget små mængder i alle levende organismer, er radioaktiv. Det vil sige, at kulstof-14 kerner er ustabile og spontant går i stykker under udsendelse af stråling. Der bliver derfor færre og færre af dem tilbage i et materiale, jo længere tid der går. Hvis man ved hvor mange C-14 atomer, der fandtes i et materiale, dengang det var en del af en levende organisme (og det kan man måle på prøver med en kendt alder som f.eks. årringe i træer), og derefter måler hvor mange, der er tilbage i dag, kan man regne materialets alder ud. C-14 indholdet i levende dyr og mennesker er dog så lille, at målingerne altid giver en vis usikkerhed i aldersbestemmelserne, sædvanligvis omkring 50-100 år.

De to øvrige kulstof-isotoper, som findes i levende organismer, C-12 og C-13, er begge stabile. De kan derfor ikke give oplysninger om tidsforløb, men de optræder i lidt forskellige mængdeforhold i planter og dyr afhængig af dannelsesforholdene. I nordlige, tempererede områder, som her hos os, vil der således være et større indhold af C-13 i alle marine planter og dyr end i planter og dyr fra landjorden (terrestriske planter og dyr). Hvis mennesker overvejende spiser kost fra havet, vil de derfor også få et større indhold af kulstof-isotopen C-13 i muskler og knogler, end hvis de udelukkende spiser kost fra landjorden. Forskellen udgør ca. 10‰, og det kan let måles.
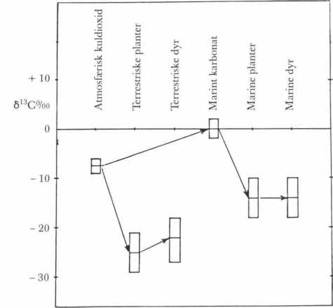
Indholdet af C-13 i et materiale udtrykkes sædvanligvis som 6C-13 værdier (også skrevet ๖13C), der angiver hvor meget C-13 indholdet i materialet afviger fra C-13 indholdet i en standard. Udtrykt på denne måde varierer C-13 indholdet i forskellige prøvematerialer fra Nordvest-Europa omtrent som angivet på Fig. 1. Som man ser, har marine dyr og planter ๖13 C værdier på -10 til – 18‰, d.v.s. de indeholder 10-18‰ mindre C-13 end den valgte standard, mens kulstofforbindelser i planter og dyr fra landjorden har ๖13C værdier på -18 til -30‰ og altså indeholder 18-30%o mindre C-13 end standarden. Menneskeknogler vokser kun langsomt, og indholdet af C-13 atomer stammer derfor fra den daglige ernæring gennem en lang periode, måske 5-10 år.
Til undersøgelsen for C-13 og C-14 indhold blev anvendt en del af venstre lårben fra Koelbjerg-kvinden. Sædvanligvis er knogler fra ældre stenalder skøre og stærkt nedbrudte, men det undersøgte lårben var helt usædvanligt velbevaret både kemisk og fysisk, ja kemisk så velbevaret at vi kun har set noget lignende på helt recente knogler. I Kulstof-14 Laboratoriet var vi derfor en overgang alvorligt bange for, at arkæologerne havde taget grundigt fejl, men målingerne skulle snart vise noget andet. For C-14 bestemmelsen på kollagen renfremstillet fra knoglevævet viste, at der kun var 31,6% af de oprindelige C-14 atomer tilbage. Da man ved, at 50% af de oprindelige C-14 atomer stadig er tilbage efter 5700 år, måtte alderen derfor være betydeligt større. Anvender man en mellemregning, hvor alderen udtrykkes i såkaldte C-14 år, svarer 31,6% til en alder på 9250 ± 85 C-14 år før 1950. For at få den virkelige alder i almindelige kalenderår (solår) må man desuden tage hensyn til, at det oprindelige C-14 indhold i dyr og mennesker har varieret lidt tilbage i tiden. Nu er Koelbjerg-kvinden så gammel, at korrektionen for denne variation kun er kendt med nogen usikkerhed, men ud fra de nyeste undersøgelser3 kan den virkelige alder fastsættes til meget nær 8000 f.Kr. Koelbjerg-kvinden er således stadig det ældste menneske-skelet fra Danmark, og endda en del ældre end hidtil antaget.
C-13 målingen gav en ๖13C værdi på -20,7‰, d.v.s. en værdi der tydeligt viser, at hele hovedparten af kosten stammede fra planter og dyr, der havde levet på landjorden. Det er også ret naturligt, for omkring 8000 f.Kr. var forholdet mellem land og hav helt anderledes end i dag. Perioden kaldes også fastlandstiden, fordi havet – på grund af de store gletchere som stadig var tilbage efter istiden – stod ca. 45 m lavere end i dag, og Danmark derfor var landfast med dele af England i vest og med Nordtyskland i syd. Der var således langt til åbent hav, og hele hovedparten af kosten måtte skaffes fra landjorden i form af jagt på urokse og kronhjort eller ved indsamling af bær og rødder. Det kan heller ikke udelukkes, at fiskeri i de store floder, som gennemskar dette store fastlandsområde, har bidraget til kosten, for ferskvandsfisk har næsten samme C-13 indhold som dyr fra landjorden. Det er kun virkeligt marine fisk og havdyr, som skiller sig ud ved et større C-13 indhold.

I de senere år er det blevet almindeligt at kalde hele perioden før agerbrugets indførelse for jægerstenalderen, i modsætning til den efterfølgende bondestenalder. Den betegnelse passer fint på Maglemose Kulturens folk, hvor til Koelbjerg-kvinden hører. Men C-13 målinger på et stort antal menneskeskeletter fra vor forhistorie4 viser, at betegnelsen er ret så misvisende for den seneste del af perioden. For da havet for alvor begyndte at stige omkring 6000 f.Kr. og ændrede det tidligere fastlandsområde til et fjordlandskab endnu mere udpræget end det, vi kender i dag, flyttede befolkningen ud til kysterne og skiftede erhverv og levevis, så fisk og havdyr (sæler) blev den helt dominerende kost (se Fig. 2). Ja, C-13 og C-14 målingerne viser, at i ca. 2000 år, fra omkring 6000 f.Kr. til 4000 f.Kr. med Kongemose Kultur og Ertebølle Kultur, var befolkningen i Danmark lige så afhængige af kost fra havet, som Eskimoerne på Grønland var før kontakten med Europæerne. Denne periode kunne derfor passende kaldes fiskerstenalderen efter det dominerende erhverv, og Danmarks stenalder burde ifølge disse målinger rettelig inddeles i en jægerstenalder, en fiskerstenalder og en bondestenalder. Det er det vigtigste resultat, der er kommet ud af målingerne af C-13 indholdet i forhistoriske skeletter, hvoraf Koelbjerg-kvinden er det foreløbigt ældste.
Noter
- ^ Troels-Smith, J.: Geologisk datering af Koelbjerg-skelettet. Aarbøger f. Nord. Oldk., 1943, s. 232-238.
- ^ Tauber, H.: Kostvaner i forhistorisk tid -belyst ved C-13 målinger. »Det skabende menneske«. Kulturhistoriske skitser tilegnet E V Glob. Nationalmuseets Forlag, 1981, s. 112-126. Tauber, H.: 13C evidence for dietary habits of prehistoric man in Denmark. Nature (London), 1981, v. 292, p. 332-.
- ^ Hammer, C.U., Clausen, H.B., Tauber, H.: Ice-Core dating of the Pleistocene/ Holocene boundary applied to a calibration of the 14C time scale. Radiocarbon, 1986, v. 28, p. 284-291.
- ^ Tauber, H.: Analysis of stable isotopes in prehistoric populations. Innovative Trends in der Praehistorischen Anthropologie (Ed.B. Herrmann), Berliner Gesellschaft für Anthropologie, Ethnologie und Urgeschichte. 1986.